摘要
汽車行業的快速發展給人們帶來了極大的便利。 然而,一些問題,如燃料消耗、污染物排放和交通擁堵已經變得越來越嚴重。 特別是在城市高速公路上,如何解決這些問題引起了研究人員的注意。因此,本文以“碳峰碳中和”為理念,基于V2X (vehicle-to-everything)通信系統,設計了一套先進的智能網聯汽車生態駕駛輔助系統。首先,智能路側設備在城市高速公路上收集交通和車輛信息。其次,邊緣計算服務器融合數據,形成動態交通流的全息感知,并傳輸區域道路交通安全預警提示。同時,考慮到融合后的數據,提出了一個最小能耗的車輛速度引導模型。第三,在V2X通信中設計了一個應用程序,以顯示安全警告提示、交通和車輛的狀態,以及最佳速度指導。最后,現場測試的實驗結果表明,采用先進的生態駕駛輔助系統的車輛的能源消耗明顯減少。此外,駕駛員可以獲得當前的交通狀況和安全警告提示,從而提高了駕駛安全性。
關鍵詞
碳峰值和碳中和,先進的生態駕駛輔助系統,智能互聯車輛,V2X通信系統,最佳速度引導。
如今,安全和碳排放是現代交通系統的主要挑戰。駕駛員需要大量的道路信息來防止交通事故。同時,隨著城市高速公路的增加,交通碳排放的比例也逐漸增加。因此,如何減少交通碳排放成為一個重要的研究課題。
世界各地的研究人員對先進的生態駕駛輔助系統進行了不同的研究。趙曉華等根據北京出租車的實際運營數據,分析了城市快速路不同道路交通條件下駕駛行為與車輛油耗之間的關系,認為綜合節能潛力可達到11. 18% [1]. 王振波等人分析了車身輕量化設計對電動汽車能耗的影響,認為能耗與整車質量基本呈線性關系。因此,盡量減少車輛的質量有利于降低能源消耗[2]。宋媛媛提出了不同駕駛條件下電動汽車能耗的定量模型,重點研究了車輛駕駛參數的影響,建立了不同形式的微觀能耗模型[3]。
李曉鵬等人利用分段二次函數構建車輛時空軌跡,簡化了高速公路環保駕駛的優化控制問題,并將優化變量從有限時間內的多個連續速度值轉換為多個函數曲線系數,大大減少了優化變量的數量,提高了求解效率[4]。 考慮到車輛軌跡、瞬時速度曲線和路面坡度對能源消耗的影響,Anastasiadou等人提出了一個基于車輛特定功率的電動汽車能源消耗模型[5]。由于溫度、風速、電池SOC、輔助負載、道路海拔、車速和加速度等影響,莫迪等人使用卷積神經網絡(CNN)來建立能耗預測模型[6]。
綜上所述,關于生態駕駛策略和能耗測量方法的研究很多,但有些研究只考慮了車輛狀態信息或道路狀況對能耗的影響,沒有與交通環境信息相結合,應用有限。此外,道路和車輛狀態信息不能被全面提取,一些全局最優方法有大量的計算量,這導致預測的準確性和結果的可信度下降。隨著智能互聯汽車和5G通信技術的發展,基于車對車(V2V)和車對基礎設施(V2I)的智能交通系統為智能綠色出行提供了新的機遇[7]。
因此,我們提出了一個先進的生態駕駛輔助系統,用于智能互聯車輛,該系統由V2X通信系統支持。通過對動態交通的立體感知,一方面可以將周圍的交通信息反饋給駕駛員進行輔助駕駛,另一方面可以應用于車速引導模型,獲得最佳車速,從而實現該地區群體的生態駕駛。
本文的其余部分組織如下。在下一節中,我們介紹了先進的生態駕駛輔助系統和智能互聯車輛架構,并提出了一個基于車輛和交通的融合數據計算出能耗最低的速度的最佳速度指導模型。最后,先進的生態駕駛輔助系統在一個真實場景中進行了測試。通過最后的結果,總結了結論并提出了未來的研究方向。
A. 高級生態駕駛輔助系統的架構
先進的生態駕駛輔助系統由基于V2X通信系統的智能路側設備和智能互聯車輛的車載應用組成。智能路邊設備包括多源傳感器,如高清攝像頭、激光雷達和碳檢測器。而車載應用程序用于顯示當前交通狀況、車輛狀態、安全警告提示和最佳速度指導等信息。
智能路側平臺融合上述傳感器的數據,并傳輸到邊緣計算服務器,再結合邊緣計算服務器中的交通事件數據和V2X數據(包括車速、加速度等信息),從而對歷史和未來交通流量數據、空間關系軌跡、預測交通流量數據、當前交通狀態和車載傳感器信息等信息進行處理,進行安全預警提示。同時,車載系統結合路邊平臺反饋的當前車速、路況、碳排放等信息,計算出最佳車速,以最大限度地減少能源消耗。
最后,先進的生態駕駛輔助系統實現了緊急預警、碰撞預警、道路狀態提示和最佳速度引導等功能。高級生態駕駛輔助系統的技術結構如圖1所示。
B. 智能互聯汽車的V2X通信系統
在駕駛過程中,由于盲點或視線被遮擋,司機可能無法及時、正確地評估當前的駕駛和交通狀況。那么,在緊急情況下,司機可能會急劇加速或減速,這很危險,并將大大增加車輛的能耗。因此,我們設計了一個基于V2X通信系統的智能互聯汽車架構[8],它將智能路邊多源傳感器與車載傳感器相結合,收集交通狀況數據,使司機能夠與當前的道路交通狀況進行互動。智能互聯汽車的架構設計如圖2所示[9]。
其中,車輛之間的低延遲和高可靠性的通信可以通過LTE-V-Direct技術實現。此外,在5G蜂窩網絡的協助下,交通數據被快速上傳和下載,然后實現車輛和路邊設備之間的寬頻帶和覆蓋通信。路邊設備通過多源傳感器感知周圍車輛信息,并接收車輛狀態數據,包括位置、速度、加速度、航向角、高度等。
車輛通過V2X通信系統獲得的路況信息和交通流信息,協助司機評估當前的交通狀況。此外,這些信息被用于最小能耗的速度指導模型中,以計算出最佳速度。
C. 最佳速度引導模型
根據碳峰值和碳中和的概念,我們為先進的生態駕駛輔助系統開發了一個最佳速度引導模型[10]。基于動態交通全息感知和車輛運行狀態信息,本文提出了智能互聯車輛的最優速度引導模型。該模型通過對車輛和交通數據的分析和計算,規劃出能耗最低的速度,然后傳輸給縱向速度控制器,進行加速或制動,以達到經濟和環保的目的,如圖3所示。
1) 電動汽車能源消耗的預測方法: 當電動汽車減速和制動時,其傳動系統可以將部分動能回收到電池。因此,在構建車輛能耗模型時,我們不僅要考慮電池提供給電機和車載設備的電能,還要考慮制動所回收的能量[11]。
我們研究的是車速對能耗的影響,所以只考慮縱向的車輛動力學模型[12],如公式(1)所示:
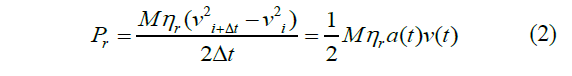
其中 Ft 表示驅動力, M 表示質量, v 表示速度,d表示旋轉質量的修正系數,f 表示滾動阻力系數, q為道路坡度, CD 表示空氣動力阻力系數, A 表示迎風面積,r 為空氣密度, v(t) 表示車速,Pwheels 表示電動汽車車輪的功率。電能回收主要受系統結構、行駛路況和駕駛習慣的影響[13],制動能量回收如公式(2)所示:
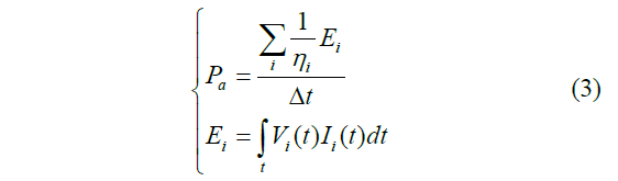
其中 hr 表示電力回收效率,vi t +D和vi 表示前一時刻和當前制動時刻的速度。電動汽車的車載電子設備能耗計算方法見在公式(3)中:
其中 Ei 分別表示每個機載附件所消耗的能量,ni 表示其相應的效率。
2) 具有最低能耗的速度引導模式: 總之,當電動汽車加速或以恒定速度行駛時,電機作為耗電元件,消耗電池的電能,將其轉化為驅動扭矩。在這個過程中,電池SOC(充電狀態)的減少是由電機的功率消耗造成的。 當車輛減速時,電機作為一個發電機,將制動扭矩轉化為制動能量,為電池供電,電池SOC上升。電池SOC可以反映出車輛的能量消耗。本文建立了一個能量消耗模型,通過確定車速和電池SOC之間的數學關系得到。
我們使用安培小時積分法來估計電池SOC[14],如公式(4)所示:
其中 Q t +Dt 表示電池單元在下一時刻的SOC;Qt 表示電池單元在當前時刻的SOC;C0 表示電池單元的最大容量, ai (t) 表示加速度, Ibat 表示電池單元的電流,Vbat 表示電池單元的電壓。
實際功率不是一個固定值。它隨著電機的角速度和電機的實際扭矩而變化。
當電動汽車加速或勻速行駛時,隨著電機的角速度和電機的實際扭矩的增加,電機的實際功率也在增加,這意味著電機的耗電能力變強,電池SOC下降得更快。當電動車減速時,隨著電機角速度和實際電機扭矩的絕對值增加,實際電機功率的絕對值也增加,這意味著電機的充電能力變強,電池SOC上升得更快。在本文中,電機的實際功率是由電機的角速度和電機的實際扭矩得到的。電機的實際功率用公式(5)表示,其中 L 是電機實際功率的數值函數,Tmot _ act (v) 表示電機實際扭矩, w mot 表示電機角速度。
3) V2X通信中速度引導的最佳解決方案: 在V2X場景下,當前電動汽車的車速和交通信息可以通過智能路側設備獲得,因此我們提出了一種基于智能互聯交通的車速即時優化控制方法,如式(6)所示。
在電動汽車的駕駛過程中,我們在V2X通信中計算出車輛的最佳瞬時速度。根據當前的車速和不同的下一刻加速度,我們可以計算出不同的轉速以及電機的扭矩,并進一步計算出不同的電池在下一刻的剩余電量。因此,我們可以找到與電池的最高剩余功率水平相對應的速度和加速度。因此,通過使用即時最優控制方法,可以實時調整速度和加速度,使車輛在行駛過程中的能量消耗降到最低。
其中 veco (t +t) 表示下一時刻的經濟車速, tf 表示駛出道路的時間, v(t) 表示當前的車輛速度, vi (t +t) 表示所有可以為車輛的下一個時刻選擇的速度點。
將下一時刻的所有速度點帶入SOC公式,我們可以得到下一時刻所有速度點對應的電池單元,然后我們可以找到使下一時刻電池單元的SOC最高的點,此時能耗最低,速度是下一時刻車輛的最佳速度。
此外,我們設計了一個車載輔助駕駛系統的應用,它是基于C#和.NET框架實現的,用于與用戶進行視覺交互,如圖4所示。根據功能,分為七個模塊:最佳速度引導模塊、緊急預警或最佳速度引導、信號狀態、車輛狀態分析、路況指示、駕駛記錄、風險指示和碰撞預警。
在安全驗證場景中,當車輛行駛在十字路口路段時,路邊的攝像頭和LiDAR檢測到周圍的行人和車輛信息,并將其傳輸給邊緣計算服務器,服務器會將處理后的當前路口交通狀態信息發送給車輛終端,并在應用程序中顯示行人警告,以提醒駕駛員注意行人的位置。如果有潛在的車輛碰撞風險,則會彈出代表其他車輛碰撞風險的 "紅色感嘆號",以確保車輛和行人安全。
圖4. 限速提醒和注意行人警告
III.真實場景下的實驗
為了驗證本文提出的最優速度算法,我們在北京市石景山區阜石路進行了V2X多源傳感器數據融合的真實場景測試,如圖5和圖6所示,綠色粗線描述了選定的路段。在實驗中,我們定義了電動車、電池和配方的參數,如表一所示,其余的參數可以通過路邊設備獲得。此外,我們還通過先進的生態駕駛輔助系統預測能源消耗。經過驗證,預測值與實際值的誤差如圖7所示。可以看出,相對誤差的絕對值不超過4%,平均誤差為2.996%,可以滿足實際場景要求,為速度預測模型提供數據支持。
圖5. 真實場景下的測試路段
圖6. 實驗測試場景
圖7. 能源消耗比較的預測誤差
在相同的道路條件下,我們分別收集了一天中9:00至10:00的輔助駕駛和一般駕駛的相應能耗。經過一周的觀察和統計,結果如圖8所示,其中橙色線代表高級生態駕駛輔助策略下的能耗變化,藍色線代表一般駕駛條件下的能耗變化。從圖7可以看出,輔助駕駛在相同的道路條件下可以減少9.3%的能耗,并有效增加車輛的續航能力,達到了經濟和環保的雙重目的。
圖8. 一周內的能源消耗比較
在低碳場景的驗證中,當車輛行駛在路況平穩的城市高速公路上時,路邊的傳感器會檢測路況信息和環境碳排放數據,然后將它們傳輸到邊緣計算服務器。根據最小能耗速度指導模型,邊緣計算服務器計算出最佳速度,并將其發送到車載終端,在生態駕駛系統應用中顯示,如圖9所示。
圖9. 最佳速度引導情景驗證
IV.總結
為了實現可持續交通,我們選擇城市高速公路作為應用場景。本文以低碳排放為理念,為智能互聯車輛設計了一個先進的生態駕駛輔助系統。 首先,我們介紹了先進的生態駕駛輔助系統的架構和用于智能互聯車輛的V2X通信系統,通過數據融合對車輛周圍的交通物體進行分類和識別。其次,邊緣計算服務器獲得道路和車輛狀態信息,并計算出最佳速度,然后將這些數據發送給高級生態駕駛輔助系統。最后,該應用顯示車輛狀態信息、安全警告提示和最佳速度指導,以幫助司機安全和低碳駕駛。通過在真實場景中的測試,實驗結果表明,能耗比較的預測誤差不超過4%,平均誤差為2.996%。此外,配備先進的生態駕駛輔助系統的電動汽車在同等路況下可降低9.3%的能耗,能夠滿足實際智能互聯交通場景下的安全低碳駕駛要求,推動未來 "碳峰碳中 "時代綠色安全出行方式的不斷創新和發展。
轉自智能汽車開發者平臺


